More Information

Submitted: January 23, 2026 | Accepted: February 07, 2026 | Published: February 09, 2026

Citation: Almosa IA, Sneddon A. Effect of Different Cultivation Techniques on the Mineral Nutritional Quality of Selected Vegetables Grown in Saudi Arabia. Ann Adv Chem. 2026; 10(1): 001-007. Available from:
https://dx.doi.org/10.29328/journal.aac.1001060

DOI: 10.29328/journal.aac.1001060

Copyright license: © 2026 Almosa IA, et al. This is an open access article distributed under the Creative Commons Attribution License, which permits unrestriCted use, distribution, and reproduCtion in any medium, provided the original work is properly cited.

Keywords: Cultivation techniques; Mineral nutritional quality; Farming methods; Hydroponics; Organic farming; Soilless cultivation

 FullText PDF

Effect of Different Cultivation Techniques on the Mineral Nutritional Quality of Selected Vegetables Grown in Saudi Arabia

Ibrahim Almosa* and Alan Sneddon

The Rowett Institute, University of Aberdeen, Aberdeen, United Kingdom

*Address for Correspondence: Ibrahim Almosa, The Rowett Institute, University of Aberdeen, Aberdeen, United Kingdom, Email: [email protected]

Background: Vegetable production in arid regions such as Saudi Arabia is constrained by limited arable land, water scarcity, and soil quality. Alternative farming systems, including hydroponic and organic cultivation, have been promoted to enhance food security and nutritional quality. However, evidence comparing mineral composition of vegetables grown under different production systems in such environments remains limited. This study aimed to evaluate and compare the mineral content of vegetables cultivated using hydroponic, organic, and traditional farming systems in Saudi Arabia.

Methods: Pepper, tomato and cucumber samples from the three different cultivation systems from different farms across the Saudi Arabia were prepared for mineral analysis using Inductively Coupled Plasma-Optical Emission Spectroscopy (ICP-OES). Water content and heavy metal levels were also measured.

Results: There was little variation in vegetable nutrient content among the different farming techniques. Organic and hydroponic systems yielded vegetables with comparable levels of water and potassium, calcium, magnesium, and trace elements including zinc, iron copper and selenium to conventional soil-grown vegetables. Additionally, levels of toxic heavy metals such as lead, cadmium, mercury and arsenic were low and similar across cultivation methods.

Conclusion: The findings indicate that mineral concentrations in vegetables were broadly comparable across hydroponic, organic, and traditional farming systems. These results suggest that, despite differences in cultivation practices, alternative production systems can achieve similar nutritional quality in terms of mineral content and support the use of hydroponic and organic systems as viable strategies for vegetable production in regions with limited arable land, such as Saudi Arabia, without compromising mineral nutrient availability.

A high consumption of fruit and vegetables provide well-known health benefits [1]. Many of these benefits arise through the presence of a number of bioactive compounds including many essential nutrients such as vitamins, minerals, fibre and other bioactive ingredients [2,3]. Several of these key minerals, such as calcium, potassium, magnesium, and iron, play central roles in the physiological functions of the body [4]. Calcium supports bone formation, nerve impulse transmission, muscle contraction, and blood [5] whereas potassium is responsible for regulating blood pressure, nerve signaling, and muscle contraction [6]. Iron forms hemoglobin, allowing the transport of oxygen while preventing anemia [7]. Adequate dietary intake of these minerals prevents deficiencies that can lead to conditions such as anaemia, osteoporosis and cardiovascular disease [4]. Therefore, fruit and vegetables constitute an easily available source of the above-mentioned minerals, which in turn are fundamental to maintaining health and preventing diseases due to nutrient deficiencies.

Vegetable production in arid regions such as Saudi Arabia is constrained by limited arable land, water scarcity, and soil quality. Here, crops produced under traditional cultivation methods can result in reduced nutrient availability and subsequent crop mineral content and the consequent ability to ingest sufficient minerals from the diet via locally grown produce [8]. However, increasing domestic crop production is important since local food production plays a key role in enhancing food security and reducing reliance on imported foods. Therefore, alternative farming systems, including hydroponic, greenhouse and organic cultivation, have been promoted to enhance food security and nutritional quality. [9,10]. Greenhouse farming provides a better controlled environment, better growth and productivity of crops, and hydroponics provide enhanced nutrient management, as well as increased crop yields compared to soil-based systems [11]. In addition, aquaponics uses a closed system in which fish farming is integrated with plant growth so that the system is highly sustainable and highly efficient [12]. Conversely, organic farming helps improve the soil and leads to greater mineral levels in crops [13]. These new cultivation techniques provide sustainable solutions to domestic crop production through conserving water and other natural resources in a country where relatively little usable land exists [9].

However, it is important to determine that the nutritional content of crops produced through such new agricultural technologies are of similar or improved value to those of more traditionally produced crops so that they can continue to contribute to healthy diets and therefore benefit health. Consequently, the aim of this study was to determine the mineral nutrient content within vegetables cultivated in Saudi Arabia using hydroponic, organic and traditional methods. In addition, as crops can sometimes acquire toxic compounds such as heavy metals and these levels are known to be strongly influenced by the method of cultivation [14] it was important to additionally assess levels of these heavy metals within the vegetables. Therefore, overall, this study strived to demonstrate that nutrient levels of vegetables produced through non-traditional cultivation are similar with those from traditional farming, increasing confidence in their potential to deliver food security and sustainability benefits.

Sampling plan and collection

Vegetable samples, including peppers, cucumber and tomato, were collected from verified farm markets in the Riyadh and Qassim central regions of Saudi Arabia between July and November 2021. These vegetables were chosen because they are very commonly consumed in Saudi Arabia and so can contribute more to dietary nutrient intakes. Tomato samples were in stage 5 colour (Feisty Red variety) while bell peppers were in the green stage. Cucumber samples (Persian variety) were at stage 6 colour. In total, three different farms, each supplying different cultivation techniques (traditional, organic, and hydroponic) were sampled. Cucumber and tomato samples were collected from hydroponic, organic, and traditional farms, while pepper samples were collected from hydroponic, organic, traditional and imported sources. Samples were coded and classified based on farm and cultivation techniques. Twelve samples from each farm were divided into three groups, each containing four vegetables and once collected, were washed in water and dried in a Heraeus UT12 oven for 24 h.

Materials and equipment

The study used solutions including nitric acid, multi-element standards, potassium, calcium, magnesium, sodium standards, and hydrogen peroxide. The microwave digestion instrument was Milestone, and ICP-OES analysis was carried out using an ICP-OES instrument from Thermo Scientific (iCAPtm 7000 Series ICP-OES). Microwave digestion was performed using an Ethos Easy Advanced Microwave Digestion System (Milestone Srl, Italy). Vegetable moisture content was determined using the conventional oven method described by the Official Methods of Analysis of AOAC International. Vegetable samples were weighed out and placed in an oven overnight, their mass was measured, and the moisture content was estimated using the following formula:

Moisture content (%) = [(b−c) / (b−a)] × 100% where a is the crucible mass (g), b is the crucible mass + sample (g), and c is the crucible mass (g) after the overnight oven treatment.

Sample preparation and elemental analysis

Whole vegetables were combined together and cut and homogenized using a homogenizer and then dried in an oven at 70 ∘C − 80 ∘C for 24 h. Water content were determined by weighing the samples and then aliquoting 0.5g (in duplicate), into a microwave vessel for digestion. Concentrated nitric acid and hydrogen peroxide were added to the samples, following the manufacturer's digestion method. Samples were then diluted to 15 ml and placed in an autosampler unit of the ICP-OES instrument (Thermo Scientific (iCAPtm 7000 Series ICP-OES) to determine the elemental concentrations. The process followed the US EPA methods and was carried out according to the manufacturer's instructions. Yttrium (Y) was used as the internal standard for ICP-OES measurements, with recovery values ranging from 75% to 120%.

Statistical analysis

Statistical analyses were performed using Microsoft Excel (Version 360, Microsoft Corporation, 2021). In addition, calibration curves, relative standard deviation (RSD), and limit of detection (LOD) were calculated using the ICP-OES software. Statistical significance was set at p < 0.05.

Effect of cultivation method on cucumber water and mineral levels

The average percentage water content for cucumbers sampled from the three different farming techniques assessed (hydroponic, organic and traditional) was consistently within the range 94.9% - 95.7%. There were no significant differences between the different cultivation methods (data not shown).

The average concentrations of K in cucumber produced by the three farming methods were higher on average in hydroponic cucumbers than in organic cucumbers and traditionally grown cucumbers by around 3% - 4%, but these differences were not statistically significant (Figure 1). Overall, the average concentrations of K from the different farming methods were similar and not significantly different.


Download Image

Figure 1: Mean potassium levels (mg/kg dry weight ± sem) in cucumbers produced by the different farming methods.

The average concentration of Ca in cucumbers produced under traditional cultivation were significantly lower by around 40% than those produced by either organic or hydroponic farming (p < 0.006) and 31%, (p < 0.05) respectively (Figure 2). Similarly, Mg levels in traditionally produced cucumbers were lower than those produced by either organic or hydroponic farming by 36% and 33% respectively, but only the comparison with organic cucumbers was significant (p < 0.004). Conversely, there were no significant differences (p > 0.05) in Na levels in cucumbers with the farming method (Figure 2).


Download Image

Figure 2: Average concentrations (mg/kg dry weight ± sem) of Mg, Na, and Ca levels in cucumbers produced by different farming methods. *Denotes significantly different (p < 0.05).

The average concentrations of Fe, Zn and Mn in cucumber did not show any significant differences due to the farming method. However, the levels of Fe and Zn were quite variable in this study (Figure 3).


Download Image

Figure 3: Average concentrations (mg/kg weight ± sem) for Fe, Zn, and Mn levels in cucumber from different farming methods.

The average concentrations of Cu in cucumber from different farming methods were slightly higher in organic than in traditional and hydroponically grown cucumbers by 43% and 40%, respectively, but these were not significantly different from traditionally farmed cucumber (Figure 4). Similarly, the levels of Cr, Se, Co and Mo in cucumber from all three farming methods did not show any significant differences. The levels of Cr were highly variable, and the levels of Co were very low overall (Figure 4).


Download Image

Figure 4: Average concentrations (mg/kg dry weight ± sem) of selected elements in cucumber from different farming methods.

Effect of cultivation method on water and mineral levels in tomatoes

The average water content in tomato samples from different farming techniques was in the range 93.3% − 94.6% and there were no significant differences observed between the different farming methods (data not shown). Potassium levels are known to be high in tomatoes (approximately 4000 mg/kg) but there were no significant differences in potassium content in tomatoes cultivated using different methods (Figure 5).


Download Image

Figure 5: Average concentrations of K (mg/kg dry weight ± sem) in tomatoes from different farming methods.

Hydroponically grown tomatoes had a lower average concentration of Na than both organic and traditionally cultivated tomatoes by 64.9% (p < 0.0006) and 50.8% (p < 0.05), respectively (Figure 6). Mg levels in hydroponically produced tomatoes tended to be higher than those in organic or traditionally grown tomatoes. However, these differences were not significant. Likewise, levels of Ca were not significantly different (p < 0.05) among the three cultivation methods, but they appeared to be much higher than the levels in imported tomatoes (Figure 6).


Download Image

Figure 6: Average concentrations of Mg, Na and Ca in tomato in mg/kg, dry weight (± sem) from different farming methods. * Significantly difference (p < 0.05).

The average concentrations of Mn, Zn and Mg in hydroponic, organic and traditional tomatoes did not show any significant differences relative to the farming technique (Figure 7). The levels of all three of these elements were lower than those in an imported sample of tomatoes.


Download Image

Figure 7: Average concentrations (mg/kg dry weight ± sem) of Mn, Zn, and Fe in tomatoes from different culturing methods.

The levels of Se, Cu, Co, Cr and Mo in tomatoes grown using the different cultivation methods showed no significant differences with the levels of Co in the tomatoes being very low (Figure 8).


Download Image

Figure 8: Levels of Se, Cu, Co, Cr and Mo (mg/kg dry weight ± sem) in tomatoes from different culturing methods.

Effect of cultivation method on water and mineral levels in peppers

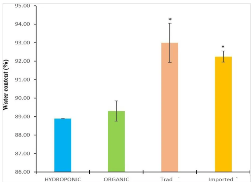
The average percentage of water content for peppers from different farming techniques ranged from 89% − 93% (Figure 9). The water content of traditionally grown peppers was significantly higher than that of organic and hydroponically farmed peppers by 4.3% and 4.3% respectively (both p < 0.05). Similarly, the water content in imported peppers was not significantly different between traditional grown peppers, but it was significantly higher (p < 0.05) than that in organically grown and hydroponically grown peppers by 0.9 and 1.3% respectively (Figure 9).


Download Image

Figure 9: Average water content (%) in peppers from different farming techniques. *Values are significantly different from organic and hydroponic growing peppers (p < 0.05).

The average concentration of K in traditionally grown peppers tended to be higher than that in organically grown peppers this did not reach significance (Figure 10). In general, there were no significant differences between the average levels of K in peppers from the different farming methods.


Download Image

Figure 10: Average levels of K in (mg/kg, dry weight ± sem) in pepper from different farming methods.

Peppers are known to contain high concentrations of Ca, Na, and Mg, however there were no significant differences in the levels of these three minerals among the different farming methods (Figure 11). The levels of these three elements varied more in hydroponically grown peppers. It was noted that the average Na concentration in hydroponically and organically grown peppers was in general higher than levels in traditional and imported peppers, but these were not significantly different (Figure 11).


Download Image

Figure 11: Average concentrations of Mg, Na, and Ca in (mg/kg, dry weight ± sem) in peppers from different farming methods.

Again, the levels of Zn, Fe and Mn in peppers showed no significant differences among the different farming methods (Figure 12).


Download Image

Figure 12: Average concentrations in (mg/kg, dry weight ± sem) of Zn, Fe, and Mn in peppers from different farming methods.

Levels of Cu, Cr and Co tended to be higher but showed greater variability within peppers produced hydroponically compared with the other farming methods. However, the average concentrations of Cu, Cr, Co, Mo and Se in pepper did not show any significant differences between farming methods (Figure 13).


Download Image

Figure 13: Average concentrations of Mn, Cr, Co, Mo, and Se (mg/kg, dry weight ± sem) in peppers from different culturing methods.

Levels of heavy metals within the selected vegetables

The levels of As, Cd, Hg and Pb in all cucumber, tomato, and pepper samples from all three culturing methods and in imported vegetables were assessed and all were below the limit of detection (LOD) of the instrument for these elements (data not shown).

The present study investigated the influence of different cultivation methods (hydroponic, organic, and traditional) on the water, mineral and heavy metal composition of selected vegetables grown in an arid environment such as in Saudi Arabia. The principal finding was that mineral concentrations, as well as levels of measured heavy metals, were broadly comparable across cultivation systems and vegetable types. These results indicate that, under the conditions examined, the choice of cultivation method did not result in substantial differences in elemental composition.

The observed similarity in mineral content across cultivation systems most probably reflects the robust regulatory control of mineral uptake by plants, which can limit variability in tissue concentrations despite differences in growth medium or nutrient delivery [15]. In hydroponic systems, nutrients are supplied in defined aqueous solutions, allowing for precise control of elemental availability [16]. In contrast, organic and traditional systems rely on soil-based nutrient pools, influenced by soil composition and fertiliser inputs and microbial activity [17]. Despite these differences, the convergence in mineral content observed here suggests that plants achieve relatively stable internal mineral concentrations when grown under adequately managed conditions. This finding supports previous reports indicating that cultivation method alone is not necessarily a governing factor in mineral accumulation in edible plant tissues [18].

Comparison with existing literature reveals a mixed body of evidence regarding the effect of cultivation method on mineral composition. Some studies have reported higher concentrations of specific minerals in organic produce, while others have found minimal or no differences between organic, conventional, and hydroponic systems. In the current study, cucumber Ca and Mg content was higher than in traditionally grown produce and Na levels in hydroponically produced tomatoes were approximately 50% lower than those in tomatoes grown conventionally or organically. However, previous studies have shown levels of these minerals can vary considerably. For example, Mg levels in traditionally farmed cucumbers ranged from 127 to 410 mg/kg, whereas Ca levels ranged from 205 to 1456 mg/kg [19]. In organically farmed cucumbers, Mg levels of 301 mg/kg and Ca levels of 1356 mg/kg have been measured [20]. In tomatoes, Na levels in traditionally grown produce have been measured at 30−810 mg/kg, dry weight [21]. Conversely, studies on hydroponically grown tomatoes have found Na levels ranging between 19−1700 mg/kg, dry weight whereas levels in organic tomatoes have ranging from 57−168 mg/kg [22,23]. Therefore, in summary, values obtained for mineral levels in the present study were within these ranges found in previous studies. Discrepancies between different studies may arise from differences in crop species, cultivar selection, fertilisation regimes, analytical methods, and environmental conditions. The present results contribute to the literature by providing data from an arid-region context, which remains underrepresented in studies of mineral composition of plants.

Also in the current study, levels of heavy metals were similarly (extremely low) across cultivation methods investigated, with no consistent evidence of elevated accumulation in any single system. This is an important consideration given ongoing concerns regarding potential contamination associated with fertiliser use, irrigation water quality, or substrate composition [24]. The findings suggest that, within the vegetables studied here and within the regions sampled within Saudia Arabia, hydroponic, organic, and traditional cultivation practices can yield produce with comparatively low heavy metal profiles with an equally resultant low risk to health. However, it is important to highlight that heavy metal uptake is strongly influenced by local environmental factors, including water source, soil chemistry, and atmospheric deposition, which may vary substantially even between different regions [25].

Several limitations of this study should be acknowledged. The study was restricted to a limited number of vegetable types and sampling periods and farms, and so seasonal or cultivar-specific effects were not explored. Furthermore, only total mineral concentrations were measured; the bioavailability of these minerals following consumption was not assessed. Future studies incorporating a wider range of crops, growth conditions, and analytical endpoints, including speciation and bio-accessibility, would provide a more comprehensive understanding of how cultivation systems influence nutritional and chemical quality.

In conclusion, the present study found no substantial differences in mineral or heavy metal content among vegetables grown using hydroponic, organic, or traditional cultivation methods within an arid environment. These findings suggest that, under controlled and well-managed conditions, cultivation method alone may not markedly influence the elemental composition of vegetables and support the use of organic and soilless farming techniques to increase food security in countries where water supply and fertile agricultural land is limited. However, further research across diverse environments and production systems is warranted to confirm the generalisability of these observations and to elucidate the underlying mechanisms governing mineral uptake and accumulation.

Funding acknowledgement

This research forms part of a PhD studentship to IA funded by a grant from the Cultural Bureau, Embassy of Saudi Arabia (SACB). The research of AAS is funded by the Scottish Government Rural and Environment Science and Analytical Services Division (RESAS).

Author contributions

IA and AAS were involved in designing the study. IA collected all samples and performed the experiments and IA and AAS wrote the manuscript. Both authors critically reviewed and approved the final manuscript.

  1. Woodside JV, Young IS, McKinley MC. Fruits and vegetables: measuring intake and encouraging increased consumption. Proc Nutr Soc. 2007;72:236–245. Available from: https://doi.org/10.1017/s0029665112003059
  2. Liu RH. Health-promoting components of fruits and vegetables in the diet. Adv Nutr. 2007;4:384S–392S. Available from: https://doi.org/10.3945/an.112.003517
  3. Chaudhari V, Singh OB, Gouthami N, Thakur N, Singh R, Singh S, Thapa U, Nagar BL. Unlocking the nutritional power of vegetables: A guide to vibrant health. Eur J Nutr Food Saf. 2024;16(8):247–261.
  4. Godswill AG, Somtochukwu IV, Ikechukwu AO, Kate EC. Health benefits of micronutrients (vitamins and minerals) and their associated deficiency diseases: A systematic review. Int J Food Sci. 2020;3(1):1–32. Available from: https://iprjb.org/journals/IJF/article/view/1024?srsltid=AfmBOorStdN9t2YI5m36E8Ivnuw5PExQ5GHv1mKRiGTmxs2RUKNcD_EX
  5. Raskh S. The importance and role of calcium on the growth and development of children and its complications. Int J Res Appl Sci Biotechnol. 2020;7(6):162–167. Available from: https://www.ijrasb.com/index.php/ijrasb/article/view/316
  6. Stone M, Weaver C. Improving human nutrition: A critical objective for potassium recommendations for agricultural crops. In: Murrell TS, Mikkelsen RL, Sulewski G, Norton R, Thompson ML, editors. Improving potassium recommendations for agricultural crops. 2021. Available from: ISBN 978-3-030-59196-0
  7. Shubham K, Anukiruthika T, Dutta S, Kashyap A, Moses JA, Anandharamakrishnan C. Iron deficiency anemia: A comprehensive review on iron absorption, bioavailability and emerging food fortification approaches. Trends Food Sci Technol. 2020;99:58–75. Available from: https://doi.org/10.1016/j.tifs.2020.02.021
  8. Elmulthum NA, Zeineldin FI, Al-Khateeb SA, Al-Barrak KM, Mohammed TA, Sattar MN, Mohmand AS. Water use efficiency and economic evaluation of the hydroponic versus conventional cultivation systems for green fodder production in Saudi Arabia. Sustainability. 2023;15(1):822. Available from: https://www.mdpi.com/2071-1050/15/1/822
  9. Alotaibi BA, Baig MB, Najim MM, Shah AA, Alamri YA. Water scarcity management to ensure food security through sustainable water resources management in Saudi Arabia. Sustainability. 2023;15(13):10648. Available from: https://www.mdpi.com/2071-1050/15/13/10648
  10. Gomathy M, Kalaiselvi K, Sakthivel V. Future of farming. In: Advanced technologies for smart agriculture. River Publishers; 2023. p. 359–381. Available from: https://www.riverpublishers.com/book_details.php?book_id=1084
  11. Tahat M, Alananbeh KM, Othman YA, Leskovar DI. Soil health and sustainable agriculture. Sustainability. 2020;12(12):4859. Available from: https://www.mdpi.com/2071-1050/12/12/4859
  12. Shreejana K, Thapa R, Lamsal A, Ghimire S, Kurunju K, Shrestha P. Aquaponics: A modern approach for integrated farming and wise utilization of components for sustainability of food security: A review. Arch Agric Environ Sci. 2022;7:121–126. Available from: https://doi.org/10.26832/24566632.2022.0701017
  13. Singh TB, Ali A, Prasad M, Yadav A, Shrivastav P, Goyal D, Dantu PK. Role of organic fertilizers in improving soil fertility. In: Contaminants in agriculture: sources, impacts and management. Part 1. 2020. p. 61–77. Available from: https://doi.org/10.1007/978-3-030-41552-5_3
  14. Wan Y, Liu J, Zhuang Z, Wang Q, Li H. Heavy metals in agricultural soils: Sources, influencing factors, and remediation strategies. Toxics. 2024 Jan 12;12(1):63. Available from: https://doi.org/10.3390/toxics12010063
  15. Kehr J. Systemic regulation of mineral homeostasis in plants: Adaptive mechanisms for nutrient uptake and balance. Front Plant Sci. 2007;4:145. Available from: https://www.frontiersin.org/journals/plant-science/articles/10.3389/fpls.2007.00145/full
  16. Kannan M, Elavarasan G, Balamurugan A, Dhanusiya B, Freedon D. Hydroponic farming – A state of art for the future agriculture. Mater Today Proc. 2022;68:2163–2166. Available from: https://www.scribd.com/document/686504377/Hydroponic-Farming-a-State-of-Art-for-the-Futur-2022-Materials-Today-Proc
  17. Araújo ASF, Leite LFC, Santos VB, Carneiro RFV. Soil microbial activity in conventional and organic agricultural systems. Sustainability. 2009;1(2):268–276. Available from: https://www.mdpi.com/2071-1050/1/2/268
  18. Smith J, Brown L, Zhao D. The impact of agricultural practices on food composition: A systematic review. J Food Compos Anal. 2025;148:108388. Available from: https://ouci.dntb.gov.ua/en/works/4Oqv0LNz/
  19. Abbey B, Nwachoko N, Ikiroma G. Nutritional value of cucumber cultivated in three selected states of Nigeria. Biochem Anal Biochem. 2017;6(3):1–3. Available from: https://www.walshmedicalmedia.com/open-access/nutritional-value-of-cucumber-cultivated-in-three-selected-states-ofnigeria-2161-1009-1000328.pdf
  20. Lee YS, Seo HY, Kim GD, Moon JH, Lee YH, Choi KJ, Lee Y, Park JH, Kang JH. A comparison of quality and volatile components of two cucumber cultivars grown under organic and conventional conditions. Korean J Food Sci Technol. 2010;42(4):407–413. Available from: https://www.researchgate.net/publication/264190846_A_Comparison_of_Quality_and_Volatile_Components_of_Two_Cucumber_Cultivars_Grown_under_Organic_and_Conventional_Conditions
  21. Ali MY, Sina AAI, Khandker SS, Neesa L, Tanvir E, Kabir A, Khalil MI, Gan SH. Nutritional composition and bioactive compounds in tomatoes and their impact on human health and disease: A review. Foods. 2020;10(1):45. Available from: https://doi.org/10.3390/foods10010045
  22. Suárez MH, Rodríguez ER, Romero CD. Mineral and trace element concentrations in cultivars of tomatoes. Food Chem. 2007;104(2):489–499. Available from: https://doi.org/10.1016/j.foodchem.2006.11.072
  23. Yang T, Kim HJ. Characterizing nutrient composition and concentration in tomato-, basil-, and lettuce-based aquaponic and hydroponic systems. Water. 2020;12(5):1259. Available from: https://www.mdpi.com/2073-4441/12/5/1259
  24. Ali H, Khan E, Sajad MA. Phytoremediation of heavy metals: Concepts and applications. Chemosphere. 2007;91:869–881. Available from: https://doi.org/10.1016/j.chemosphere.2007.01.075
  25. Lu X, Wang L, Zhang Q, et al. Sources and influencing factors of heavy metals in agricultural soils: A review. Toxics. 2024;12:63.